颜色是人眼对可见光的视觉感知响应,不同的光源由于光谱能量分布不同,就会导致物体呈现出不同的颜色。在颜色科学和颜色测量领域,颜色可用颜色三要素来描述,即色调、明度和饱和度。本文对颜色的特性及色度学中颜色的表示方法做了介绍,对此感兴趣的朋友可以了解一下!

颜色的特性:
颜色可分为彩色和非彩色两大类。非彩色指白色、黑色和各种深浅不同的灰色。彩色是指白黑系列以外的各种颜色。彩色具有明度、色调、饱和度等三种特性。彩色光的亮度越高,人眼就越感觉明亮,或者说有较高的明度。彩色物体表,面的光反射率越高,它的明度就越高。色调是彩色彼此相互区分的特性。饱和度是指彩色的纯洁性。可见光谱的各种单色光是最饱和的颜色。物体色的饱和度决定于该物体表面反射光谱辐射的选择程度。非彩色光只有明度的差别,而没有色调和饱和度这两种特性。
颜色又可分为光源色和物体色。光源色是由光源发射的光的颜色,物体色是光被物体反射或透射后的颜色。物体的表面色是指漫反射、不透明物体表面的颜色。
物体的颜色是由光线在物体上被反射和吸收的情况决定的,同时又受光源条件的影响。这里所说的物体指的是自身不发光,靠光源照明后才能看得见,或显现颜色的透明物质或不透明物质。如果它能发光,就称它为光源。物体的颜色可以说是物质的一种表观属性,它有利于人们认识物体和区分物体。既然物体的颜色与照明体的性质有关,因此,也可以把不同物体在同一照明下显现不同颜色看作是该物体对照明光的调制作用。这种调制作用是指物体对照明光的不同光谱成分有不同的反射或吸收,因而从物体表面反射出来的、或透射过来的光已不同于照明光的光谱成分。
从这种观点出发,我们可以说,物体的颜色取决于:①光源的光谱成分,可用光源的相对功率P(λ)表示;②物体对光谱的调制作用,可以用调制函数中φ(λ)表示。经过物体对光源的调制后,反射光或透射光的光谱成分变为 P(λ)·φ(λ)。
根据光源颜色刺激值计算的公式,物体色的三刺激值可用以下公式计算:

这说明物体的颜色不是固定不变的,当光源变化时物体的颜色也在发生变化。因此,在我们的分拣系统中,光照必须保持很好的稳定性。
色度学中颜色的几种表示方法:
1.H、V、C表色系统
为了便于了解颜色管理方而的机理,首先介绍颜色立体图(如下图所示)。颜色立体是利用三维坐标把颜色知觉的三个属性(色调、明度和饱和度)完整地表示出来,图中的每个具体空间位置均代表着一个特定颜色。

(1)色调(H)
色调又称色相,是色彩最主要的特征,是色与色的主要区别。光谱中不同波长的光都具有特定的颜色,所以一定波长的光或某些不同波长的光混合,呈现出不同的色彩表象,这些色彩的表象就称为色调。
(2)明度(V)
对于色调相同的颜色来说,如果光波的反射率、透射率或是辐射光能量不相等时,最终的视觉效果也不相同,这个变化的量称为明度。愈接近白色明度愈大,愈接近黑色则明度愈小。人眼对明度的变化是很敏感的。
(3)饱和度(C)
饱和度亦称纯度、艳度或彩度,表示颜色的浓淡程度。某颜色的色相表现越明显,它的饱和度就越高。在纯色颜料中加入白色或黑色后饱和度就会降低。染料的饱和度取决于其着色物表面反射光谱辐射的选择性,若着色物对光谱某一较窄波段的光反射率高,而对于其他波长的反射率很低或没有反射,则表明它有很高的光谱选择性,这一染料或颜料的选择性就高。反之,不仅能反射某一色光,同时也能反射一些其它色光时,饱和度就小。
2.CIE标准色度学系统
(1)CIE1931RGB色度系统
1931年,国际照明委员会根据W.D.Right和J.Guild的实验结果,推出了“CIE1931-RGB”标准色度观察者光谱三刺激值。
由加混色原理可知,任何一个颜色均可以用线性无关的三个原色以适当的比例相加混合而与之匹配,写成色方程即为:

上式中r、g、b是匹配颜色C所需要的三个原色的刺激量,称之为颜色C的三刺激值。如果令r=r/(r+g+b),g=g/(r+g+b),b=b/(r+g+b)则上式变为:

上式中r、g、b是颜色C的色品坐标。
如果定义颜色C的一个单位为1(C)=r(R)+g(G)+b(B),即c=r+g+b,而显然r+g+b=1,所以可以用r、g作为直角坐标绘制出一个直角坐标图它是由所有光谱色的色品坐标点连接起来而形成的光谱轨迹,称之为色品图。如下图 所示,其中wE代表等能白色。

从上图可以看到,r、g、b光谱三刺激值和光谱轨迹的色品坐标中均有很大一部分出现负值。计算不方便,不易于理解。于是,CIE又在“CIE-RGB”的基础上导出了XYZ色度系统。
(2)CIE1931XYZ色度系统
CIE1931RGB系统中波长谱线的坐标点连接起来,就形成了CIE1931XYZ系统色品图,如下图所示。

由CIE1931RGB系统转换而来的等能光谱色品坐标,连成的曲线称为CIEx-y色品图的光谱轨迹在光谱轨迹的红端波长到波长为560nm的区间内,光谱色轨迹接近直线,然后光谱色轨迹形成弧形曲线直至光谱的短波区域,蓝紫色的波长被压缩在很小的范围之内由该光谱轨迹曲线以及连接光谱的红端和蓝端的直线所构成的马蹄形内,包括了一切物理上能实现的颜色。
XYZ三刺激值是通过色刺激函数每一个波长的值乘以CIE色匹配函数每一个波长上的值,并将每一组乘积在相应整个可见光谱的波长范围内积分起来得到。按实践中常用的方法,对于反射物体色,其结果可用400-700nm波长范围内,间隔20nm的波长处的乘积和来近似表示。
3.CIE1976L*a*b*表色系统
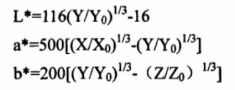
CIE推荐的X,Y,Z空间是不均匀的,在此空间中,两对等距的颜色点,并不一定给人以相同的颜色感觉。为了提高计算结果与视觉的相关性,CIE推出了几种均匀颜色空间(CIE1964W*U*V*、CIE1976L*u*v*、CIE1976L*a*b*等),其中应用最广泛的是CIE1976L*a*b*均匀颜色空间。当X、Y、Z和X0、Y0、Z0满足条件X/X>0.008856,Y/Y0>008856,Z/Z0>0.008856时,其坐标参数为:

当 X/X0,Y/Y0,Z/Z0三个值中任一个小于 0.008856 时,其坐标参数为:

式中的X0,Y0,Z0代表CIE标准照明体照射在完全漫反射体上,然后反射到人眼中的三刺激值,其值列于下表中。

L*为明度指数,表示黑-白轴,a*和b*为色度指数,分别表示红-绿轴和黄-蓝轴。L为10时,表示对光完全散射的漫射体;L为0时,表示对光完全吸收的黑体。a*值越大,样品的色调越红;b*值越大,色调就越黄。

