色差仪作为光电测色仪器,在测量颜色时采用的是国际上通用的CIELab颜色空间,在给出样品的色度值L、a、b值,还可以给出比色后的△L、△a、△b等色差值。本文对色差仪测Lab值的原理及Lab值与Lch值的转化方法做了介绍,对此感兴趣的朋友可以了解一下!

色差仪怎么测Lab值?
色差仪测量颜色时,采用的是国际上通用的CIELAB色空间,它是利用L*,a*,b*三个不同的坐标轴,指示颜色在几何坐标图中的位置及代号。它是基于一种颜色不能同时既是绿又是红、既是蓝又是黄这种理论而建立起来的。一种颜色用CIE L*,a*,b*表示时,L*轴表示明度,黑在底端,白在顶端;+a*表示红色,-a*表示绿色;+b*表示黄色,-b*表示蓝色。任何颜色的色彩变化可以用a*,b*数值来表示,任何颜色的层次变化可以用L*数值来表示,用L*,a*,b*三个数值就可以描述自然界中的任何色彩。其中:“L”代表物体的明亮度:0-100表示从黑色到白色;“a”代表物体的红绿色:正值表示红色,负值表示绿色;“b”代表物体的黄蓝色:正值表示黄色,负值表示蓝色。
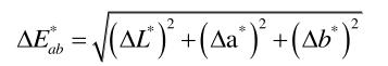
根据测出的L、a、b数值就可以计算出被测物体的偏色情况,具体计算公式如下:
ΔL*=L*样品-L*标准,为明度差异;△L*为正值,样品颜色偏浅色方向;为负值,样品偏深色方向。
△a*=a*样品-a*标准,为红/绿差异;△a*为正值,样品颜色偏红;△a*为负值,样品偏绿。
△b*= b*样品-b*标准,为黄/蓝差异;Δb*为正值,样品颜色偏黄;△b*为负值,样品偏蓝。
其中△L*,△a*,△b*,为参考样品和被测样品之间明度L*和色度指数a*,b*的差值。色差值用ΔE* 来表示,为综合总色差,具体计算方法和亮度差△L、红绿差△a、黄蓝差△b都有关系。总色差ΔE*的计算公式如下:

一般情况下色差仪都会给出相应的L*,a*,b*值和比色后的ΔL*、△a、△b、ΔE*四组色差数据。用ΔE来评价色差时,△E越小表示样品与标准颜色越接近,反之则表示两种颜色相差越远。
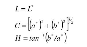
色差仪Lab值与Lch值转换方法:
Lch颜色空间是Lab空间变形后得到的圆柱形颜色空间。该颜色空间由L、C、H表示。纵坐标L*值同样对应于颜色三要素的明度,取值0-100;C*代表彩度,即某一颜色的坐标位置与原点的距离,取值0-181,圆心处颜色的饱和度C*值为0,离圆心越远C*的值越大;H*为色调,取值0°-360°,h*代表色调角,是某一颜色坐标在色品平面内的投影点和坐标原点的连线与a轴的夹角。规定h*从正a轴(红)开始为0°,逆时针为正,正b轴(黄)为90°,负a轴(绿)为180°,负b轴(蓝)为270°。Lch与Lab之间的转换关系为:

Lch色彩空间是从CIELab色彩空间推导出来的,一种颜色可以用Lab表示,也可以用Lch表示。采用Lch对图像进行修正符合日常生活中对色彩进行描述的习惯,色彩修正更加便于理解、更加直观和易于控制。
色差仪L值偏高怎么办?
色差是各行各业都必须重视的问题,为了让产品颜色有更佳精准的衡量标准,国际上通用的表示就是色空间。常见的颜色空间有LAB,LCH,RGB,XYZ,YXY等,不过目前最主流的色空间还是Lab,它可以表示任何一种颜色,其他色空间一般都是作参考用。其中L明度——被判断区域的亮度与另一个参照区域的亮度的比值,该参照区域必须表现为白色或者是高度透光的。“L”代表物体的明亮度:0-100表示从黑色到白色,L值越高,则越亮。
色差仪L值偏高的原因:
同一台色差宝测同一个地方都会有不同的结果,一台色差宝的正常误差一般是正负0.5,不同色彩仪的标准板会有差别的色差测试,所以误差会有点大,当然两台色差宝的参数设置不一样的话误差会大到简直不是一个色,比如光源,角度这些。为了避免色差仪测量出现较大误差,用户在测色时就需要注意以下事项:
1、对色差仪进行校正,如果色差仪校准不准确,那么测量的结果就会存在较大偏差。
2、查看仪器的电源电压是否正常,如果仪器电源供电不足,那么测量时就无法保证仪器的正常工作,测量结果也会出现较大偏差。
3、检测测量样品是否平整,如果测量口与测量面接触不紧密,就会导致外界光线的干扰,从而出现错误的色差检定结果。
4、查看被测样品表面是否整洁,有没有杂质混色,如果被测样品颜色混色,那么测量结果就很难准确的评定。

