色温只是一种描述光源颜色的量值,光源的色温相同并不代表它们的光谱组成一样,另外色温与光源本身的温度无关,色温分为绝对色温与相关色温。那么,绝对色温和相关色温什么意思?怎么计算?下文为大家做了介绍。

绝对色温的含义和计算方法:
1.绝对色温
当光源发出的光谱与加热一个黑体使其产生同样光谱时,加热黑体所需要的温度就是该光源的绝对色温,绝对色温的概念是在1911年由Hyde提出的,一般用T表示,单位为开尔文(K),是表示光源特性最基本的参数之一。这里的黑体是指对外来辐射或光线完全吸收的一种理想物体,是不存在的。
2.绝对色温计算方法
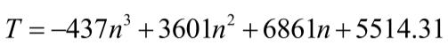
绝对色温在CIE-1931色品图上是一条连续的弧形轨迹,这条轨迹称为黑体轨迹线。光源的色品坐标如果落于黑体轨迹上,则对应的黑体温度就为此光源的绝对色温。绝对色温的计算公式为:

式中n=(x-0.3320)/(y-0.1858),x、y为CIE-1931的色坐标。为方便描述,色温也可理解为光源的颜色,随着色温值的提高,光源的颜色会由红色向蓝色转变。
相关色温的含义和计算方法:
1.相关色温
绝对色温虽然可以准确地描述光源的颜色,然而对于大部分光源来说,光源的色品坐标不可能与某一绝对温度下的黑体辐射色品坐标完全相同,为此,Raymond Davis等人提出了相关色温的概念,一般用Tc来表示,单位为开尔文(K),它表示与光源具有最相似颜色刺激的黑体辐射的温度。
2.相关色温计算方法
为了快速准确地计算出光源的相关色温,目前已经提出了几种比较典型计算方法,包括:三角垂足插值法、黑体轨迹法和模拟黑体轨迹法等,这几种方法虽然计算精确,但计算过程复杂,计算量大。为了更加高效准确地计算出相关色温,研究者先后提出了几种计算相关色温的经验公式。

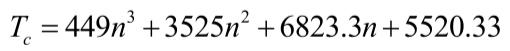
式中n=(x-0.3320)/(0.1858-y),x、y为CIE-1931的色坐标。

式中n=(x-0.329)/(y-0.187),x、y为CIE-1931的色坐标。

式中n=(x-0.332)/(y-0.1858),x、y为CIE-1931的色坐标。
上述三种经验公式均可以直接计算出已知色品坐标光源的相关色温,且计算快速、准确。

