颜色三刺激值和光谱三刺激值怎么理解?颜色三刺激值是用于定量描述颜色的一组数值;而光谱三刺激值是颜色科学中用于描述颜色特性的重要概念,是计算颜色三刺激值的基础。那么,颜色三刺激值和光谱三刺激值什么关系?本文为大家做了介绍。

颜色三刺激值怎么理解?
颜色三刺激值是指在特定的颜色匹配实验中,为了匹配出某一特定颜色,所需的红(R)、绿(G)、蓝(B)三种原色光的刺激量,通常用X、Y、Z来表示。这三种原色光的波长通常分别选取700nm(红)、546.1nm(绿)和435.8nm(蓝)。
人眼视网膜上有三种不同类型的锥体细胞,分别对不同波长范围的光敏感,大致对应红、绿、蓝三种颜色。当不同波长的光进入人眼时,会引起这三种锥体细胞不同程度的兴奋,它们的综合反应就形成了人对颜色的感知。颜色三刺激值就是通过测量人眼对不同颜色光的这种综合反应,来定量地表示颜色。在颜色匹配实验中,通过调整红、绿、蓝三种原色光的强度,使其混合后的光与待测颜色的光在视觉上完全匹配,此时所使用的三种原色光的强度就是该颜色的三刺激值。
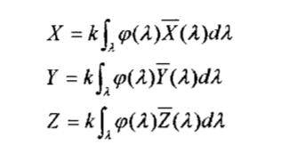
颜色三刺激值可以通过对颜色的光谱功率分布进行积分计算得到。具体的计算公式如下:

其中,φ(λ)是颜色的光谱功率分布函数,x(λ)、y(λ)、z(λ)是CIE(国际照明委员会)标准色度观察者光谱三刺激值函数,k是归一化常数。在实际应用中,通常使用分光光度计等仪器测量颜色的光谱反射率或透射率,然后根据上述公式计算出三刺激值。
光谱三刺激值怎么理解?
光谱三刺激值是指人眼对不同波长单色光的刺激响应程度,通常用x(λ)、y(λ)、z(λ)表示。它是基于CIE标准色度系统建立的,该系统通过大量实验,统计了正常人眼对不同波长光的颜色视觉特性。其原理是基于人眼的三色视觉理论,即人眼视网膜上存在三种不同类型的锥体细胞,分别对红、绿、蓝三种颜色的光具有不同的敏感特性。当不同波长的光进入人眼时,会引起这三种锥体细胞不同程度的兴奋,从而产生不同的颜色感觉。光谱三刺激值就是用来量化这种对不同波长光的响应特性。
光谱三刺激值是通过颜色匹配实验确定的。在实验中,让观察者将红、绿、蓝三种原色光以不同比例混合,去匹配各种波长的单色光,从而得到匹配每种单色光所需的三原色光的刺激量,这些刺激量随波长变化的函数就是光谱三刺激值。CIE组织经过大量的实验和数据处理,确定了一套标准的光谱三刺激值曲线,这些曲线被广泛应用于颜色测量和计算中。通过将物体的光谱功率分布与光谱三刺激值函数进行积分运算,可得到该物体颜色的三刺激值X、Y、Z,从而实现对颜色的定量描述。
颜色三刺激值和光谱三刺激值的关系:
1.光谱三刺激值是颜色三刺激值的基础
光谱三刺激值x(λ)、y(λ)、z(λ)描述的是人眼对不同波长单色光的刺激响应程度,是通过大量颜色匹配实验获得的基础数据,它反映了人眼视觉系统对各种波长光的敏感度特性。
2.光谱三刺激值用于颜色三刺激值计算
颜色三刺激值X、Y、Z是通过将物体的光谱功率分布函数与光谱三刺激值函数进行积分运算得到的,通过物体颜色三刺激值,就可以实现对颜色的定量描述。
3.光谱三刺激值与颜色三刺激值相互依存
光谱三刺激值决定了颜色三刺激值的计算基础,不同的光谱三刺激值函数会导致不同的颜色计算结果。而颜色三刺激值则是光谱三刺激值在具体颜色测量和描述中的应用体现,通过颜色三刺激值可以进一步计算出各种颜色参数,如色品坐标等,从而实现对颜色的量化和比较。所以,二者相互依存,共同构成了现代色度学中颜色测量和描述的基础理论体系。

