色温是光源重要的颜色指标,不同的光源由于光谱能量分布的不同,其色温不同,因此其光线的颜色也会有所差异。在谈到光源的色温时,还会涉及到相关色温和分布温度两个概念。本文对光源的色温、相关色温及光源的分布温度做了简要的介绍。

光源的色温、相关色温:
如果一个光源发射光的颜色(即光源色)与某一温度下的黑体发射光的颜色(即色品)相同,那么,此时黑体的绝对温度值就叫做该光源的颜色温度(简称色温)。黑体发射光的相对光谱功率分布由普朗克定律给出:

式中T为黑体的绝对温度;λ为波长;C为第一辐射常数,C1=3.7417749X10-16w·m2;C2为第二辐射常数,C2=1.4388X10-2m·K。
当光源发射光的颜色和黑体不相同时,我们用“相关色温”的概念来描述光源的颜色。相关色温的定义是:在某一确定的均匀色度图中,如果一个光源与某一温度下的黑体具有最接近的色品,此时黑体的绝对温度值就叫做光源的相关色温。
光源的分布温度:
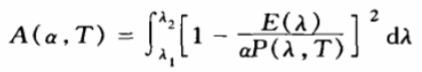
分布温度的定义:在某一波长范围内,如果一个光源发出的辐射与某一温度下的黑体有最接近的相对光谱功率分布,那么,此时黑体的绝对温度就叫做该光源在该波长范围内的分布温度。分布温度的数学表达式为:

其中E(λ)是被测光源的相对光谱辐射功率分布;P(λ,T)是黑体的光谱辐射功率分布;a是一个调整常数。选取适当的a、T值,使得上式的积分值最小,此时的丁即为所求的被测光源的分布温度值。
光源的色温、相关色温及分布温度的关系:
当光源发射光的颜色和黑体不同时,色温的概念被扩大到更一般的“相关色温”的概念。在色温和相关色温的定义中,必须是对标准的色觉观察者而言。因为不同的色觉观察者。特别是具有色觉缺陷的观察者在评价时,将可能收到不同的结果。在相关色温的定义中、必须规定出一个最合适的,为大家所公认的均匀色度图。对同一光源,由依据的均匀色度图的不同,所求出的相关色温也不同。现规定用CIE1960UCS色度图。在上述定义中,都包括了人眼的色觉特性,因此,色温和相关色温实际上是一个心理物理量。
光源的色温和分布温度实际上是两个完全不同的概念。对于分布温度,不仅在可见光区,而对红外区,紫外区也可能有意义,对色温则只在可见光区有意义。一般地讲,光源的色温和可见光区的分布温度在数值上是不同的,例如:钨带灯相关色温2060K;分布温度2055K。

