纺织色差公式用于纺织色差的计算与评估,目前用于纺织色差计算的公式有很多,例如CIELAB、CIE94、CIEDE2000等。本文对纺织色差公式类型及CIEDE2000色差公式做了简要的介绍。

纺织色差公式类型:
色差是纺织品质量检测与控制的最重要的参数之一,而色差公式是评判色差的标准,目前比较常见的色差公式是CIELAB、CMC、CIE94、CIEDE2000色差公式。
CIE在1976年推荐了两个色差公式:CIELAB和CIELUV公式。前者主要应用于表面色工业,后者应用于电视和照明工业。中国印刷国家标准和行业标准就是采用前者。现在的研究表明,CIELAB公式具有很差的均匀性,尤其是在深蓝色区域。
1984年CMC(颜色测量委员会)推荐在工业检测中使用CMC(l:c)色差公式。通过大量的数据验证,这个公式要优于个人的视觉评价。CMC(I:c)公式是CMC对 JPC97公式的一个重新定义,JPC97公式是McDonald开发的。根据对产品的特性和最终的使用的评估,人眼对亮度、彩度、色相差别的视觉容忍度是不同的,JPC97公式包含了权重函数,以补偿在视觉容忍度的明显差别。
1989年,国际照明委员会(CIE)成立了技术委员会TC1-29(工业色差评估),主要任务是考察目前在工业中使用的在日光照明下进行物体色色差评价的标准。1992年TC1-29给出了一个新的色差公式的完整的名称是“CIE1994(△L*、△C*ab、△H*ab)色差模型”,缩写为“CIE94”,或色差符号△E*94。
CIEDE2000公式由国际照明委员会在2001年发表。并由国际照明委员会技术委员会成员1-47号成员更新,该公式为工业色差的计算提供了一个新的步骤。一般研究表明,CIEDE2000公式比之前的CIELAB△E*ab和△E94色差公式更成熟。
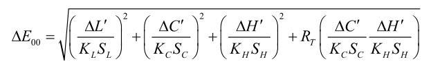
CIEDE2000色差公式:
CIEDE2000色差公式是CIE于2001年推出的一个色差公式,也是目前色差仪中最新的一个色差公式。CIE2000色差公式并不是创建了一个新的人眼辨别临界区均匀的色空间,而是重新定义了色差计算方法,使得在整个CIELab(L*a*b*色度空间)中,色差计算值与人眼评估更为接近。新的色差公式在原色差计算公式基础上,另外特别引用了三个新的重量系数SL,SC和SH,分别代表了在亮度△L*、饱和度△C*和色调△H*方向上的差异程度。计算公式如下:

其中,KL、KC、KH是校正因子,L'、C'、h'是两个样本之间的L'、C'和h'算术平均值。如果两个样本的色调角绝对差值不大于180°,直接用上式计算;如果两个样本的色调角绝对差值大于180°,把较大的色调角减去360°,再进行计算。

