Hunter Lab颜色空间是由Hunter提出的一个颜色空间,其中的L、a、b是建立在颜色对立理论基础上的三维直角坐标系,是不带星号,其在是由的过程中经常会与带星号的L*、a*、b*值有所混淆。本文对Hunter Lab颜色空间及Hunter Lab色差公式做了介绍。

Hunter Lab颜色空间介绍:
Hunter Lab颜色空间是一个基于对立颜色学说的三维矩形空间,如下图所示,与CIE L*a*b*色彩体系相类似,同一颜色在这两个颜色空间中的数值是不同的,Hunter Lab在颜色空间的蓝色部分是收缩的,CIE L*a*b*在颜色空间的黄色部分是过度扩张的;都是由CIE XYZ体系导出的。

L(明度)轴:其中)代表黑,100代表白。
a(红一绿)轴:其中正值为红;负值为绿。
b(蓝一黄)轴:其中正值为黄;负值为蓝。
L值越大,物体颜色越白;L值越小,物体颜色越黑。沿(+a)方向红色逐渐加深,沿(-a)方向绿色逐渐加深。沿(+b)方向黄色逐渐加深,沿(-b)方向蓝色逐渐加深。
Hunter Lab色度参数技术公式如下:

其中:L为明度;a、b为色度;X、Y、Z为物体的三刺激值;Xn、Yn、Zn为完全反射面的三刺激值;Ka、Kb为调整因子。
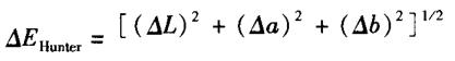
Hunter Lab色差公式:
Hunter Lab色差公式是由Hunter为使光电色度计读数方便,而于1948年提出的Lab对抗色系统中计算色差的公式,大多用于陶瓷、塑料和纺织品等,一般可满足工业生产管理的需要。在该系统中,L表示物体反射光的明度,a表示反射光中红色与绿色的成分,b表示反射光中黄色与蓝色的成分。因此,Lab系统的色差公式可表示为:

式中:△L、△a、△b分别为两个物体表面色的明度差和色品坐标差。
HunterLab颜色容差范围是多少?
由于传统与习惯的影响,目前仍有许多用户沿用享特Lab色空间及色差公式,不同亮度、不同色调、不同饱和度颜色的色差容限不同,一般有如下的经验:
微量(trace)~0.5
轻微(slight)0.5~1.5
能感觉到(noticiable)1.5~3.0
明显(noticiable)3.0~6.0
很大(much)6.0~12.0
截然不同(very much)12.0以上

