色差仪为了对颜色进行量化分析,一般都会配置多种类型的颜色空间,Hunter Lab和DIN99颜色空间是其中常见颜色空间。本文对色差仪Hunter Lab和DIN99颜色空间及色差公式做了简要介绍,对此感兴趣的朋友不妨了解一下!

色差仪Hunter Lab颜色空间及色差公式:
Hunter Lab颜色空间是一个基于对立颜色学说的三维矩形空间,与CIE L*a*b*色彩体系相类似,同一颜色在这两个颜色空间中的数值是不同的,Hunter Lab在颜色空间的蓝色部分是收缩的,CIEL*a*b*在颜色空间的黄色部分是过度扩张的;都是由CIE XYZ体系导出的。Hunter Lab系统分别以L、a、b 表示物体反射光的三个量,其中L表示反射光的明度,a表示反射光中红色与绿色的成分,b表示反射光中黄色与蓝色的成分。L与CIELab中的L*类似,描述颜色的明亮程度。取值范围一般在0到100之间,0表示绝对黑色,100表示绝对白色。a表示颜色在红绿色轴上的位置a值为正数时,颜色偏向红色;a值为负数时,颜色偏向绿色。其数值的大小反映了颜色在红绿色调上的偏离程度,绝对值越大,颜色在该方向上的特征越明显,其数值范围和计算方式与CIELab中的a*有所不同。b代表颜色在黄蓝色轴上的位置。b值为正数时,颜色偏向黄色;b值为负数时,颜色偏向蓝色。同样,b值的大小反映了颜色在黄蓝色调上的偏离程度,绝对值越大,颜色的黄色或蓝色特征越突出。同样与CIELab中的b*在数值范围和计算上存在差异。
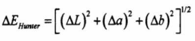
Hunter色差公式是由亨特(Hunter)为使光电色度计读数方便,而于1948年提出的Lab对抗色系统中计算色差的公式,大多用于陶瓷、塑料和纺织品等,一般可满足工业生产管理的需要。在该系统中,L表示物体反射光的明度,a表示反射光中红色与绿色的成分,b表示反射光中黄色与蓝色的成分。因此,Lab系统的色差公式可表示为:

式中:△L、△a、△b分别为两个物体表面色的明度差和色品坐标差。
色差仪DIN99DIN99颜色空间及色差公式:
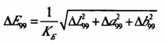
DIN99匀色空间是由DIN99色差公式经过三次修正(分别为DIN99b、DIN99c、DIN99d)建立的。DIN99公式就其对小色差的预测而言,没有CIEDE2000的预测效果好,但它建立了相应的色空间。在此空间里,用BFD-P和RIT-DuPont数据集得出的实验椭圆比CIELAB的实验椭圆大大改进。DIN99匀色空间现已被德国选为工业标准,并向CIE推荐希望使其能成为国际标准。其色差公式如下:

DINΔE99色差公式基于CIELAB颜色空间,由德国标准化学会(DIN)提出。它对CIELAB颜色空间下的色差计算进行了改进,旨在减少在不同颜色区域的计算误差,更好地匹配人眼对颜色差异的感知。具体公式包含了对明度、彩度和色调差异的修正计算。优点是在德国及一些欧洲工业标准中被采用,对于符合其标准要求的颜色评估具有较好的准确性和一致性。缺点是应用范围相对局限于遵循德国及相关欧洲标准的行业和领域,通用性不如一些国际广泛认可的公式。

