HunterLab颜色空间是色差仪常用颜色空间之一,该颜色空间与CIELab颜色空间类型,都是用亮度和两个色度对颜色进行描述,也就是用L、a、b值对颜色进行描述。那么,HunterLab颜色空间的L、a、b值数据怎么分析?本文做了介绍,感兴趣的朋友不妨了解一下!

HunterLab颜色空间的L、a、b值分析:
Hunter Lab颜色空间与CIE L*a*b*色彩体系相类似,同一颜色在这两个颜色空间中的数值是不同的,Hunter Lab在颜色空间的蓝色部分是收缩的,CIE L*a*b*在颜色空间的黄色部分是过度扩张的,都是由CIEXYZ体系导出的。Hunter Lab颜色空间是一个基于对立颜色学说的三维矩形空间,L(明度)轴:0代表黑,100代表白。a(红一绿)轴:其中正值为红;负值为绿。b(蓝一黄)轴:其中正值为黄;负值为蓝。L值越大,物体颜色越白;L值越小,物体颜色越黑。沿(+a)方向红色逐渐加深,沿(-a)方向绿色逐渐加深。沿(+b)方向黄色逐渐加深,沿(-b)方向蓝色逐渐加深。亮度值L的计算基于样品的三刺激值,色度坐标a和b分别表示红-绿和黄-蓝两个颜色维度,它们的计算与CIELab颜色空间的a*、b*有一定的相关性,但计算方法更为加单。具体含义如下:
L(亮度):与CIELab中的L*类似,描述颜色的明亮程度。取值范围一般在0到100之间,0表示绝对黑色,100表示绝对白色。
a(红绿轴):表示颜色在红绿色轴上的位置a值为正数时,颜色偏向红色;a值为负数时,颜色偏向绿色。其数值的大小反映了颜色在红绿色调上的偏离程度,绝对值越大,颜色在该方向上的特征越明显,其数值范围和计算方式与CIELab中的a*有所不同。
b(黄蓝轴):代表颜色在黄蓝色轴上的位置。b值为正数时,颜色偏向黄色;b值为负数时,颜色偏向蓝色。同样,b值的大小反映了颜色在黄蓝色调上的偏离程度,绝对值越大,颜色的黄色或蓝色特征越突出。同样与CIELab中的b*在数值范围和计算上存在差异。
HunterLab颜色空间色差公式:
HunterLab颜色空间是Hunter在1948年提出的一种用于描述颜色的空间,它与CIELab颜色空间类似,同样基于亮度和两个色度坐标来表示颜色。HunterLab颜色空间的主要特点是简单易用。它的计算相对简便,对测量设备和计算资源的要求较低,能够快速得到颜色的测量结果。不过,与CIELab颜色空间相比,HunterLab颜色空间的均匀性较差,在不同颜色区域,颜色差异的计算值与视觉感知的一致性不如CIELab。HunterLab色彩空间与CIELab颜色空间一样,都是由CIE XYZ体系导出,其表达为:

其中:L为明度;a、b为色度;X、Y、Z为物体的三刺激值;Xn、Yn、Zn为完全反射面的三刺激值;Ka、Kb为调整因子。
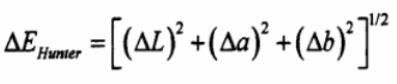
在Hunter Lab颜色空间中,其色差公式可表示为:

式中:△L、△a、△b分别为两个物体表面色的明度差和色品坐标差。

